Posts

Showing posts from November, 2023

Order Statistics

Image
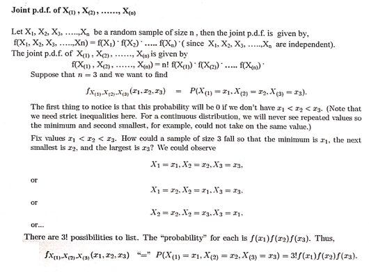
  B.Sc. III       Semester- VI      Statistics –XIII Probability Theory and Applications Unit 1:   Order Statistics and Convergence 1.1    Order Statistics         Let X 1 , X 2 , X 3 , …..,X n   be a random sample of size n from a continuous distribution with p. d. f. f(x) and c .d. f. F(x).          Let,    X (1) = min { X 1 , X 2 , X 3 , ….., X n }                   X (2) = 2 nd min { X 1 , X 2 , X 3 , ….., X n }                   X (3) = 3 rd min { X 1 , X 2 , X 3 , ….., X n }                   …..             ...